Google Scholar profile
Journal Publications
J133. J. Feng, T.J. Strathmann, and J.S. Guest. (2025). Hydrothermal-based Wastewater Solids Management for Targeted Resource Recovery and Decarbonization in the Contiguous U.S. Environmental Science & Technology. 59, 38, 20389–20400. https://doi.org/10.1021/acs.est.5c07190

J132. H. Zhang, T.J. Strathmann, X. Chai, X. Dai, and B. Wu (2025). Low-Temperature, Ambient-Pressure and Rapid Mineralization of Per- and Polyfluoroalkyl Substances by Molten Alkali. Journal of Hazardous Materials. 496, 139269. https://doi.org/10.1016/j.jhazmat.2025.139269
J131. O. Soker, B. Tajdini, A. Abarca-Perez, A. Wadia, C. Bellona, S. Hao, K. Doudrick, and T.J. Strathmann. (2025). Reuse of Spent Granular Activated Carbon for PFAS Removal Following Hydrothermal Alkaline Treatment. Water Research 283, 123794. https://doi.org/10.1016/j.watres.2025.123794

J130. A.C. Ellis, T.H. Boyer, and T.J. Strathmann (2025). Regeneration of Conventional and Emerging PFAS-Selective Anion Exchange Resins Used to Treat PFAS-Contaminated. Waters. Separation and Purification Technology. 355, Part B, 129789. https://doi.org/10.1016/j.seppur.2024.129789

J129. A.M. Griffin, C. Bellona, and T.J. Strathmann (2024). Rejection of PFAS and Priority Co-Contaminants in Semiconductor Fabrication Wastewater by Nanofiltration Membranes. Water Research. 262, 122111. https://doi.org/10.1016/j.watres.2024.122111

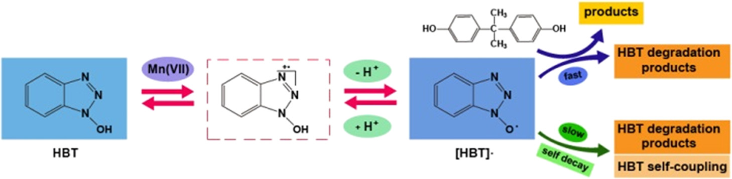
J128. H. Zhang, Q. Zhao, K. Zhong, R. Bai, J. Dong, J. Ma, J. Zhang, and T.J. Strathmann (2024). Overlooked Interaction between Redox-Mediator and Bisphenol-A in Permanganate Oxidation. Environmental Science and Ecotechnology. 21, 100421. https://doi.org/10.1016/j.ese.2024.100421
J127. C. Austin, A. Purohit, C. Thomsen, B. Pinkard, T.J. Strathmann, and I. Novosselov (2024). Hydrothermal Destruction and Defluorination of Trifluoroacetic Acid (TFA). Environmental Science and Technology. 58, 8076-8085. https://doi.org/10.1021/acs.est.3c09404

J126. C. Amador, S. Vyas, and T.J. Strathmann (2024). Kinetic Modal for Predicting Perfluoroalkyl Acid Degradation during UV-Sulfite Treatment. Environmental Science and Technology. 58, 6425-6434. https://doi.org/10.1021/acs.est.3c10584

J125. J. Feng, Y. Li, T.J. Strathmann, and J.S. Guest. (2024). Characterizing the Opportunity Space for Sustainable Hydrothermal Valorization of Wet Organic Wastes. Environmental Science and Technology. In Press. https://doi.org/10.1021/acs.est.3c07394
J124. C. Zhang, S. Hao, N. Gonda, Y. Zhi, T.J. Strathmann, C.E. Schaefer, and C.P. Higgins. (2024). Quantification of Long-Chain, Short-Chain, and Ultrashort-Chain Liquid Chromatography-Amenable PFASs in Water: Evaluation of Approaches and Tradeoffs for AFFF-Impacted Water. Journal of Hazardous Materials. 466, 133591. https://doi.org/10.1016/j.jhazmat.2024.133591
J123. C.H. Shih, J. Kim, S.H. Yang, O. Soker, T.J. Strathmann, and K.H. Chu. (2024). Remediation of PFAS-Impacted Soils using Magnetic Activated Carbon (MAC) and Hydrothermal Alkaline Treatment (HALT). Science of the Total Environment. In Press. 168931. https://doi.org/10.1016/j.scitotenv.2023.168931
J122. D. Wang, Y. Yu, J. He, J. Ma, J. Zhang, and T.J. Strathmann. (2024). Comprehending the Practical Implications of Permanganate and Ferrate for Water Remediation in Complex Water Matrices. Journal of Hazardous Materials. 462, 132659. https://doi.org/10.1016/j.jhazmat.2023.132659
J121. D. Wang, J. He, J. Ma, J. Zhang, and T.J. Strathmann (2023). Understanding Molecular-Level Reactions between Permanganate/Ferrate and Dissolved Effluent Organic Matter from Municipal Secondary Effluent. Water Research. 247, 120768. https://doi.org/10.1016/j.watres.2023.120768
J120. S. Hao, P.N. Reardon, Y.J. Choi, C. Zhang, J.M. Sanchez, C.P. Higgins, and T.J. Strathmann. (2023). Hydrothermal Alkaline Treatment (HALT) of Foam Fractionation Concentrate Derived from PFAS-Contaminated Groundwater. Environmental Science & Technology. 57, 17154-17165. https://doi.org/10.1021/acs.est.3c05140

J119. A.C. Ellis, T.H. Boyer, Y. Fang, C.J. Liu, and T.J. Strathmann (2023). Life Cycle Assessment and Life Cycle Cost Analysis of Anion Exchange and Granular Activated Carbon Systems for Remediation of Groundwater Contaminated by Per- and Polyfluoroalkyl Substances (PFASs). Water Research. 243, 120324. https://doi.org/10.1016/j.watres.2023.120324

J118. J. Wang, X. Yao, Y. Li, J. Zhang, and T.J. Strathmann (2023). Catalytic Hydrothermal Deoxygenation of Stearic Acid with Ru/C: Effects of Alcohol- and Carboxylic Acid-Based Hydrogen Donors. ACS Omega. 8, 19969-19973. https://doi.org/10.1021/acsomega.3c01975
J117. C.K. Amador, H. Cavalli, R. Tenorio, H. Tetu, C.P. Higgins, S. Vyas, and T.J. Strathmann (2023). Influence of Carbonate Speciation on Hydrated Electron Treatment Processes. Environmental Science & Technology. 57, 7849-7857. https://doi.org/10.1021/acs.est.2c09451

J116. O. Soker, S. Hao, B.G. Trewyn, C.P. Higgins, and T.J. Strathmann (2023). Application of Hydrothermal Alkaline Treatment to Spent Granular Activated Carbon: Destruction of Adsorbed PFASs and Adsorbent Regeneration. Environmental Science & Technology Letters. 10, 425-430. https://doi.org/10.1021/acs.estlett.3c00161

J115. L.E. Cronmiller, J.M. Crawford, J. Zhang, D.R. Vardon, and T.J. Strathmann (2023). Hydrothermal Catalytic Conversion of Oleic Acid to Heptadecane over Ni/ZrO2. Journal of Hazardous Materials Advances. 10, 100273. https://doi.org/10.1016/j.hazadv.2023.100273

J114. D. Wang, J. Ma, J. Zhang, and T.J. Strathmann (2023). Carbocatalysts for Enhancing Permanganate Oxidation of Sulfisoxazole. Environmental Science & Technology. 57, 18473-18482. https://doi.org/10.1021/acs.est.2c08141
J113. H. Zhang, J. Ma, J. Zhang, and T.J. Strathmann. (2023). ABNO-Functionalized Silica as an Efficient Catalyst for Enhancing Permanganate Oxidation of Emerging Contaminants. Environmental Science & Technology. 57, 635-642. https://doi.org/ 10.1021/acs.est.2c06978
J112. C.K. Amador, D.J. Van Hoomissen, J. Liu, T.J. Strathmann, and S. Vyas. (2023). Ultra-Short Chain Fluorocarboxylates Exhibit Wide Ranging Reactivity with Hydrated Electrons. Chemosphere. 311, 136918. https://doi.org/10.1016/j.chemosphere.2022.136918

J111. H. Zhang, Z. Shi, F. Cui, J. Zhang, and T.J. Strathmann. (2023). Contribution of Different Reactive Species in the Oxidation of Bisphenol A by Permanganate Combined with 1-Hydroxybenzotriazole. Chemical Engineering Journal. 451, 138813. https://doi.org/10.1016/j.cej.2022.138813

J110. R. Tenorio, A. Maizel, C.E. Schaefer, C.P. Higgins, and T.J. Strathmann. (2022). Application of high resolution mass spectrometry to evaluate UV-sulfite induced transformations of per- and polyfluoroalkyl substances (PFASs) in aqueous film-forming foam (AFFF). Environmental Science & Technology. 56, 14774-14787. https://doi.org/10.1021/acs.est.2c03228

J109. A.C. Ellis, C.J. Liu, Y. Fang, T.H. Boyer, C.E. Schaefer, C.P. Higgins, and T.J. Strathmann. (2022). Pilot study comparison of regenerable and emerging single-use anion exchange resins for treatment of groundwater contaminated by per- and polyfluoroalkyl substances (PFASs). Water Research. 223, 119019. https://doi.org/10.1016/j.watres.2022.119019

J108. C.J. Liu, C.C. Murray, R.E. Marshall, T.J. Strathmann, and C. Bellona. (2022) Removal of Per- and Polyfluoroalkyl Substances from Contaminated Groundwater by Granular Activated Carbon and Anion Exchange Resins: A Pilot-Scale Comparative Assessment. Environmental Science: Water Research and Technology. 8, 2245-2253. DOI: 10.1039/d2ew00080f

J107. E. Berns-Herrboldt, X. You, J. Lin, R. Sanford, T.J. Strathmann, C. Schaefer, C. Werth (2022). Sulfate Reducing Bacteria Enhance Trichloroethene Reduction by Iron-Sulfur Mineral Precipitates. ACS ES&T Water. 2, 1500-1510. https://pubs.acs.org/doi/full/10.1021/acsestwater.1c00357
J106. H. Zhang, Z. Shi, J. Ma, F. Cui, Zhang, J., and T.J. Strathmann (2022). Abatement of Organic Contaminants by Mn(VII)/TEMPOs: Effect of TEMPOs Structure, Organic Contaminant Speciation, and Active Oxidizing Species. Environmental Science & Technology. 56, 10361-10371. https://doi.org/10.1021/acs.est.2c02098
J105. S. Hao, Y.J. Choi, R.A. Deeb, T.J. Strathmann, and C.P. Higgins. (2022). Application of Hydrothermal Alkaline Treatment for Destruction of Per- and Polyfluoroalkyl Substances in Contaminated Groundwater and Soil. Environmental Science & Technology. 56, 6647-6657. https://doi.org/10.1021/acs.est.2c00654

J104. T.H. Boyer, A. Ellis, Y. Fang, C.E. Schaefer, C.P. Higgins, and T.J. Strathmann. (2021). Life cycle environmental impacts of regeneration options for anion exchange resin remediation of PFAS impacted water. Water Research. 207, 117798. https://doi.org/10.1016/j.watres.2021.117798
J103. C. Liu, G. McKay, D. Jiang, R. Tenorio, J.T. Cath, C. Amador, C.C. Murray, J.B. Brown, H.B. Wright, C. Schaefer, C.P. Higgins, C. Bellona, and T.J. Strathmann. (2021). Pilot-Scale Field Demonstration of a Hybrid Nanofiltration and UV-Sulfite Treatment Train for Groundwater Contaminated by Per- and Polyfluoroalkyl Substances (PFASs). Water Research, 205, 117677. https://doi.org/10.1016/j.watres.2021.117677

J102. S. Leow, A.J. Koehler, L.E. Cronmiller, X. Huo, G.D. Lahti, Y. Li, G.R. Hafenstine, D.R. Vardon, and T.J. Strathmann. (2021). Vapor-phase conversion of aqueous 3-hydroxybutyric acid and crotonic acid to propylene over solid acid catalysts. Catalysis Science & Technology. 11, 6866-6876. DOI: 10.1039/d1cy01152a

J101. H. Zhang, Z. Shi, R. Bai, D. Wang, F. Cui, J. Zhang, and T.J. Strathmann (2021). Role of TEMPO in enhancing permanganate oxidation toward organic contaminants. Environmental Science & Technology. 55, 7681-7689. https://doi.org/10.1021/acs.est.1c01824

J100. T.H. Boyer, Y. Fang, A. Ellis, R. Dietz, Y.J. Choi, C.E. Schaefer, C.P. Higgins, and T.J. Strathmann (2021). Anion exchange resin removal of per- and polyfluoroalkyl substances (PFAS) from impacted water: A critical review. Water Research. 200, 117244. https://doi.org/10.1016/j.watres.2021.117244
J99. Y. Fang, A. Ellis, Y.J. Choi, T.H. Boyer, C.P. Higgins, C.E. Schaefer, and T.J. Strathmann (2021). Removal of Per- and Polyfluoroalkyl Substances (PFASs) in Aqueous Film-Forming Foam (AFFF) Using Ion-Exchange and Nonionic Resins. Environmental Science & Technology. 55, 8, 5001. https://doi.org/10.1021/acs.est.1c00769

J98. S. Hao, Y.J. Choi, B. Wu, C. Higgins, R. Deeb, and T.J. Strathmann. (2021). Hydrothermal alkaline treatment for destruction of per- and polyfluoroalkyl substances (PFASs) in aqueous film-forming foam (AFFF). Environmental Science & Technology. 55, 3283-3295. https://doi.org/10.1021/acs.est.0c06906

J97. X. Yao, T.J. Strathmann, Y. Li, L.E. Cronmiller, H. Ma, and J. Zhang. (2021). Catalytic Hydrothermal Deoxygenation of Lipids and Fatty Acids to Diesel-Like Hydrocarbons: A Review. Green Chemistry. 23, 1114-1129. https://doi.org/10.1039/D0GC03707A
J96. C.J. Liu, T.J. Strathmann, and C. Bellona. (2021). Rejection of Per- and Polyfluoroalkyl Substances (PFASs) in Aqueous Film-Forming Foam by High Pressure Membranes. Water Research. 188, 116546. https://doi.org/10.1016/j.watres.2020.116546

J95. B. Wu, S.M. Berg, C.K. Remucal, and T.J. Strathmann (2020). Evolution of N-Containing Compounds during Hydrothermal Liquefaction of Sewage Sludge. ACS Sustainable Chemistry & Engineering. 8, 49, 18303-8313. https://doi.org/10.1021/acssuschemeng.0c07060

J94. C.E. Schaefer, D. Tran, Y. Fang, Y.J. Choi, C.P. Higgins, and T.J. Strathmann (2020). Electrochemical Treatment of Poly- and Perfluoroalkyl Substances in Brines. Environmental Science: Water Research and Technology. 6, 2704-2712. https://doi.org/10.1039/D0EW00377H
J93. R. Tenorio, J. Liu, X. Xiao, A. Maizel, C.P. Higgins, C.E. Schaefer, and T.J. Strathmann. (2020). Destruction of Per- and Polyfluoroalkyl Substances (PFASs) in Aqueous Film-Forming Foam (AFFF) with UV-Sulfite Photoreductive Treatment. Environmental Science & Technology. 54, 6957-6967. https://doi.org/10.1021/acs.est.0c00961

J92. J. Yu, A. Nickerson, Y. Li, Y. Fang, and T.J. Strathmann (2020). Fate of Per- and Polyfluoroalkyl Substances (PFAS) during Hydrothermal Liquefaction of Municipal Wastewater Treatment Sludge. Environmental Science: Water Research and Technology. 6, 1388-1399. https://doi.org/10.1039/C9EW01139K

J91. X. Huo, J. Vanneste, T. Cath, and T.J. Strathmann (2020). A Hybrid Catalytic Hydrogenation/Membrane Distillation Process for Nitrogen Resource Recovery from Nitrate-Contaminated Waste Ion Exchange Brine. Water Research. 175, 115688. https://doi.org/10.1016/j.watres.2020.115688

J90. Z. Shi, C. Jin, R. Bai, Z. Gao, J. Zhang, L. Zhu, Z. Zhao, T.J. Strathmann (2020). Enhanced Transformation of Emerging Contaminants by Permanganate in the Presence of Redox Mediators. Environmental Science and Technology. 54, 3, 1909-1919. DOI:
https://doi.org/10.1021/acs.est.9b05711

J89. H. Dong, G. Wei, T. Cao, B. Shao, G. Xiaohong, and T.J. Strathmann (2020). Insights into the Oxidation of Organic Co-contaminants during Cr(VI) Reduction by Sulfite: The Overlooked Significance of Cr(V). Environmental Science and Technology. 54, 1157-1166. DOI: https://doi.org/10.1021/acs.est.9b03356

J88. Y. Fang, G. Vanzin, A.M. Cupples, and T.J. Strathmann (2020). Influence of Terminal Electron-Accepting Conditions on the Soil Microbial Community and Degradation of Organic Contaminants of Emerging Concern. Science of the Total Environment. 706, 135327. DOI: https://doi.org/10.1016/j.scitotenv.2019.135327

J87. Y. Li and T.J. Strathmann. (2019). Kinetics and Mechanism for Hydrothermal Conversion of Polyhydroxybutyrate (PHB) for Wastewater Valorization. Green Chemistry. 21, 5586-5597. DOI: https://doi.org/10.1039/C9GC02507C

J86. B. Wu, S. Hao, Y. Choi, C.P. Higgins, R. Deeb, and T.J. Strathmann. (2019). Rapid Destruction and Defluorination of Perfluorooctanesulfonate by Alkaline Hydrothermal Reaction. Environmental Science & Technology Letters. 6, 630-636. DOI: https://doi.org/10.1021/acs.estlett.9b00506

J85. X. Huo, N.A. Huq, J. Stunkel, N.S. Cleveland, A.K. Starace, A.E. Settle, A.M. York, R.S. Nelson, D.G. Brandner, L. Fouts, P.C. St. John, E.D. Christensen, J. Luecke, J.H. Mack, C.S. McEnally, P.A. Cherry, L.D. Pfefferle, T.J. Strathmann, D. Salvachua, S. Kim, R. McCormick, G.T. Beckham, and D.R. Vardon. (2019). Tailoring Diesel Bioblendstock from Integrated Catalytic Upgrading of Carboxylic Acids: A “Fuel Property First” Approach. Green Chemistry. 21, 5813-5827. DOI: https://doi.org/10.1039/C9GC01820D
J84. Y. Zhu, C. Zhao, J. Liang, R. Shang, X. Zhu, L. Ding, H. Deng, H. Zheng, and T.J. Strathmann. (2019). Rapid Removal of Diclofenac in Aqueous Solution by Soluble Mn(III)(aq) Generated in a Novel Electro-Activated Carbon Fiber-Permanganate Process. Water Research. 165, 114975. DOI: https://doi.org/10.1016/j.watres.2019.114975
J83. J. Zhang, X. Huo, Y. Li, and T.J. Strathmann (2019). Catalytic Hydrothermal Decarboxylation and Cracking of Fatty Acids and Lipids over Ru/C. ACS Sustainable Chemistry & Engineering. 7, 14400-14410. DOI: https://doi.org/10.1021/acssuschemeng.9b00215
J82. Y. Li, S.A. Slouka, S.M. Henkanatte-Gedera, N. Nirmalakhandan, and T.J. Strathmann. (2019). Seasonal Treatment and Economic Evaluation of an Algal Wastewater System for Energy and Nutrient Recovery. Environmental Science: Water Research & Technology. 5, 1545-1557. DOI: https://doi.org/10.1039/C9EW00242A

J81. Y. Fang, A. Ellis, M. Uchimiya, and T.J. Strathmann. (2019). Selective Oxidation of Colour-Inducing Constituents in Raw Sugar Cane Juice with Potassium Permanganate. Food Chemistry. 298, 125036. DOI: https://doi.org/10.1016/j.foodchem.2019.125036
J80. E.C. Berns, R.A. Sanford, A.J. Valocchi, T.J. Strathmann, C.E. Schaefer, and C.J. Werth. (2019). Contributions of Biotic and Abiotic Pathways to Anaerobic Trichloroethene Transformation in Low Permeability Source Zones. Journal of Contaminant Hydrology, 224, 103480. DOI: https://doi.org/10.1016/j.jconhyd.2019.04.003

J79. Y. Li, S. Leow, T. Dong, N.J. Nagle, E.P. Knoshaug, L.M.L. Laurens, P.T. Pienkos, J.S. Guest, and T.J. Strathmann (2019). Demonstration and Evaluation of Hybrid Microalgae Aqueous Conversion Systems for Biofuel Production. ACS Sustainable Chemistry & Engineering. 7, 5835-5844. DOI: https://doi.org/10.1021/acssuschemeng.8b05741.

J78. J.-R. Thelusmond, T.J. Strathmann, and A.M. Cupples (2019). Carbamazepine, Triclocarbon and Triclosan Biodegradation and the Phylotypes and Functional Genes Associated with Xenobiotic Degradation in Four Agricultural Soils. Science of the Total Environment. 657, 1138-1149. 10.1016/j.scitotenv.2018.12.145

J77. H. Dong, J. Chen, L. Feng, W. Zhang, X. Guan, and T.J. Strathmann. (2019). Degradation of Organic Contaminants through Activating Bisulfite by Cerium(IV): A Sulfate Radical-Predominant Oxidation Process. Chemical Engineering Journal. 357, 328-336. 10.1016/j.cej.2018.09.024

J76. S. Leow, B. Shoener, Y. Li, J. DeBellis, J. Markham, R. Davis, L. Laurens, P. Pienkos, S. Cook, T.J. Strathmann, and J.S. Guest. (2018). A Unified Modeling Framework to Advance Biofuel Production from Microalgae. Environmental Science and Technology. 52, 13591-13599. 10.1021/acs.est.8b03663

J75. Y. Li, W.A. Tarpeh, K.L. Nelson, and T.J. Strathmann. (2018). Quantitative Evaluation of an Integrated System for Valorization of Wastewater Algae as Bio-oil, Fuel Gas, and Fertilizer Products. Environmental Science and Technology. 52, 12717-12727. 10.1021/acs.est.8b04035.

J. 74. C.E. Schaefer, S. Choyke, P.L. Ferguson, C. Andaya, A. Burant, A. Maizel, T.J. Strathmann, and C.P. Higgins. (2018) Electrochemical Transformations of Perfluoroalkyl Acid (PFAA) Precursors and PFAAs in Groundwater Impacted with Aqueous Film Forming Foams. Environmental Science & Technology. 52, 10689-10697. 10.1021/acs.est.8b02726

J73. J.-R. Thelusmond, E. Kawka, T.J. Strathmann, and A.M. Cupples. (2018) Diclofenac, Carbamazepine and Triclocarban Biodegradation in Agricultural Soils and the Microorganisms and Metabolic Pathways Affected. Science of the Total Environment. 640-641, 1393-1410. 10.1016/j.scitotenv.2018.05.403
J.72. J. Liu, D. Van Hoomissen, T. Liu, A. Maizel, X. Huo, S. Fernández, C. Ren, X. Xiao, Y. Fang, C. Schaefer, C. Higgins, S. Vyas, and T.J. Strathmann. (2018). Reductive Defluorination of Branched Per- and Polyfluoroalkyl Substances with Cobalt Complex Catalysts. Environmental Science & Technology Letters. 5, 289-294. 10.1021/acs.estlett.8b00122.

J.71. X. Huo, J. Liu, T.J. Strathmann (2018). Ruthenium Catalysts for the Reduction of N-Nitrosamine Water Contaminants. Environmental Science & Technology. 52, 4235-4243. 10.1021/acs.est.7b05834

J.70. Y. Fang, E. Kim, T.J. Strathmann. (2018). Mineral- and base-catalyzed hydrolysis of organophosphate flame retardants – A potential major fate-controlling sink in soil and aquatic environments. Environmental Science & Technology. 52, 1997-2006. 10.1021/acs.est.7b05911

J.69. H. Dong, G. Wei, W. Fan, S. Ma, H. Zhao, W. Zhang, X. Guan, T.J. Strathmann. (2018). Reinvestigating the role of reactive species in the oxidation of organic co-contaminants during Cr(VI) reactions with sulfite. Chemosphere. 196, 593-597. https://doi.org/10.1016/j.chemosphere.2017.12.194

J.68. R. Tenorio, A.C. Fedders, T.J. Strathmann, and J.S. Guest (2017). Impact of Growth Phases on Photochemically Produced Reactive Species in the Extracellular Matrix of Algal Cultivation Systems. Environmental Science: Water Research & Technology. 3, 1095-1108. https://dx.doi.org/10.1039/C7EW00172J

J.67. X. Huo, D.J. Van Hoomissen, J. Liu, S. Vyas, and T.J. Strathmann (2017). Hydrogenation of Aqueous Nitrate and Nitrite with Ruthenium Catalysts. Applied Catalysis B: Environmental. 211, 188-198. https://doi.org/10.1016/j.apcatb.2017.04.045
J.66. C.E. Schaefer, C. Andaya, A. Burant, C.W. Condee, A. Urtiaga, T.J. Strathmann, and C.P. Higgins. (2017). Electrochemical Treatment of Perfluorooctanoic acid and Perfluorooctane Sulfonate: Insights into Mechanisms and Application to Groundwater Treatment. Chemical Engineering Journal. 317, 424-432. http://dx.doi.org/10.1016/j.cej.2017.02.107
J.65. A.M. Bergquist, M. Bertoch, G. Gildert, T.J. Strathmann, and C.J. Werth. (2017). Catalytic Denitrification in a Trickle Bed Reactor: Ion Exchange Waste Brine Treatment. Journal of the American Water Works Association. 109, 5, E129-E143. http://dx.doi.org/10.5942/jawwa.2017.109.0055
J64. M. Bertoch, A.M. Bergquist, G. Gildert, T.J. Strathmann, and C.J. Werth (2017). Catalytic Nitrate Removal in a Trickle Bed Reactor: Direct Drinking Water Treatment. Journal of the American Water Works Association. 109, 5, E144-E157. http://dx.doi.org/10.5942/jawwa.2017.109.0056
J63. Y. Li, S. Leow, A.C. Fedders, B.K. Sharma, J.S. Guest, and T.J. Strathmann (2017). Quantitative Multiphase Model for Hydrothermal Liquefaction of Algal Biomass. Green Chemistry. 19, 1163-1174. http://dx.doi.org/10.1039/C6GC03294J

J62. J. Liu, X. Su, M. Han, D. Wu, D.L. Gray, J.R. Shapley, C.J. Werth, and T.J. Strathmann (2017). Ligand Design for Isomer-Selective Oxorhenium(V) Complex Synthesis. Inorganic Chemistry. 56, 1757-1769. http://dx.doi.org/10.1021/acs.inorgchem.6b03076

J61. X. Chen, X. Huo, J. Liu, Y. Wang, C.J. Werth, and T.J. Strathmann (2017). Exploring Beyond Palladium: Catalytic Reduction of Aqueous Oxyanion Pollutants with Alternative Platinum Group Metals and New Mechanistic Implications. Chemical Engineering Journal. 313, 745-752. http://dx.doi.org/10.1016/j.cej.2016.12.058
J60. J.R. Thelusmond, T.J. Strathmann, and A.M. Cupples. (2016). The Identification of Carbamazepine Biodegrading Phylotypes and Phylotypes Sensitive to Carbamazepine Exposure in Two Soil Microbial Communities. Science of the Total Environment. 571, 1241-52. http://dx.doi.org/10.1016/j.scitotenv.2016.07.154

J59. J. Liu, M. Han, D. Wu, X. Chen, J.K. Choe, C.J. Werth, and T.J. Strathmann. (2016). A New Bioinspired Perchlorate Reduction Catalyst with Significantly Enhanced Stability via Rational Tuning of Rhenium Coordination Chemistry and Heterogeneous Reaction Pathway. Environmental Science and Technology. 50, 5874-5881. http://dx.doi.org/10.1021/acs.est.6b00886 – Article available free via Open Access

J58. A. Bergquist, J.K. Choe, T.J. Strathmann, and C.J Werth. (2016). Evaluation of a Hybrid Ion Exchange-Catalyst Treatment Technology for Nitrate Removal from Drinking Water. In review with Water Research. 96, 177-187. http://dx.doi.org/10.1016/j.watres.2016.03.054

J57. D. Kim, D.R. Vardon, D. Murali, B.K. Sharma, and T.J. Strathmann. (2016). Valorization of Waste Lipids through Hydrothermal Catalytic Conversion to Liquid Hydrocarbon Fuels with In Situ Hydrogen Production. ACS Sustainable Chemistry and Engineering. 4, 1775-1784. http://pubs.acs.org/doi/abs/10.1021/acssuschemeng.5b01768
J56. J. Liu, D. Wu, X. Su, M. Han, S.Y. Kimura, D.L. Gray, J.R. Shapley, M.M. Abu-Omar, C.J. Werth, and T.J. Strathmann. (2016). Configuration Control in the Synthesis of Homo- and Heteroleptic Bis-(oxazolinyl phenolato/thiazolinylphenolato) Chelate Ligand Complexes of Oxorhenium (V), Isomer Effect on Ancillary Ligand Exchange Dynamics and Implications for Perchlorate Reduction Catalysis. Inorganic Chemistry. 55, 2597-2611. http://pubs.acs.org/doi/abs/10.1021/acs.inorgchem.5b02940

J55. J. Liu, X. Chen, Y. Wang, T.J. Strathmann, C.J. Werth. (2015) Mechanism and Mitigation of the Decomposition of an Oxorhenium Complex-Based Heterogeneous Catalyst for Perchlorate Reduction in Water. Environmental Science & Technology. 49, 12932-12940. http://dx.doi.org/10.1021/acs.est.5b03393

J54. J.K. Choe, A.M. Bergquist, S. Jeong, J.S. Guest, C.J. Werth, and T.J. Strathmann. (2015). Performance and Life Cycle Environmental Benefits of Recycling Spent Ion Exchange Brines by Catalytic Treatment of Nitrate. Water Research. 80, 267-280. http://dx.doi.org/10.1016/j.watres.2015.05.007

J53. S. Leow, J.R. Witter, D.R. Vardon, B.K. Sharma, J.S. Guest, and T.J. Strathmann. (2015). Prediction of Microalgae Hydrothermal Liquefaction Products from Feedstock Biochemical Composition. Green Chemistry. 17, 3584-3599. http://dx.doi.org/10.1039/C5GC00574D – Article is free via Open Access

J52. D.R. Vardon, M.A. Franden, C.W. Johnson, E.M. Karp, M.T. Guarnieri, J.G. Linger, M.J. Salm, T.J. Strathmann, and G.T. Beckham. (2015). Adipic Acid Production from Lignin. Energy & Environmental Science. 8, 617-628. http://dx.doi.org/10.1039/c4ee03230f

J51. J. Liu, J.K. Choe, Y. Wang, J.R. Shapley, C.J. Werth, and T.J. Strathmann. (2014). A Bio-inspired Complex-Nanoparticle Hybrid Catalyst System for Aqueous Perchlorate Reduction: Rhenium Speciation and Its Influence on Catalytic Performance. ACS Catalysis. 5, 511-522. http://dx.doi.org/10.1021/cs501286w

J50. Y. Wang, J. Liu, P. Wang, C.J. Werth, and T.J. Strathmann. (2014). Palladium Nanoparticles Encapsulated in Core-Shell Silica: A Structured Hydrogenation Catalyst with Enhanced Activity for Reduction of Oxyanion Water Pollutants. ACS Catalysis. 4, 3551-3559. http://dx.doi.org/10.1021/cs500971r

J49. J.G. Linger, D.R. Vardon, M.T. Guarnieri, E.M. Karp, G.B. Hunsinger, M.A. Franden, C.W. Johnson, T.J. Strathmann, P.T. Pienkos, G.T. Beckham. (2014). Lignin Valorization through Integrated Biological Funneling and Chemical Catalysis. Proceedings of the National Academy of Sciences. 111, 12013-12018. http://dx.doi.org/10.1073/pnas.1410657111

J48. J.K. Choe, M.I. Boyanov, J. Liu, K.M. Kemner, C.J. Werth, and T.J. Strathmann. (2014). X-ray Spectroscopic Characterization of Immobilized Rhenium Species in Rhenium-Palladium Bimetallic Catalysts Used for Perchlorate Treatment in Drinking Water. Journal of Physical Chemistry C. 118, 11666-11676. http://dx.doi.org/10.1021/jp5006814.

J47. T. Paul, J. Liu, M.C. Machesky, and T.J. Strathmann. (2014). Application of a Charge Distribution Surface Complexation Model for Adsorption of Zwitterionic Fluoroquinolone Antibiotics to Goethite. Journal of Colloid and Interface Science. 428, 63-72. http://dx.doi.org/10.1016/j.jcis.2014.04.034

J46. D. Vardon, B.K. Sharma, H. Jaramillo, D. Kim, J.K. Choe, P.N. Ciesielski, and T.J. Strathmann. (2014). Hydrothermal catalytic hydrogenation and deoxygenation of unsaturated fatty acids with glycerol for in situ hydrogen production. Green Chemistry. 16, 1507-1520. http://dx.doi.org/10.1039/c3gc41798k.

J45. D. Vardon, B. Moser, W. Zheng, K. Witkin, R. Evangelista, T.J. Strathmann, K.N. Rajagopalan, and B.K. Sharma. (2013). Complete Utilization of Spent Coffee Grounds to Produce Biodiesel, Bio-oil and Biochar. ACS Sustainable Chemistry and Engineering. 1, 1286-1294. http://dx.doi.org/10.1021/sc400145w

J44. D. Ramchandran, K.N. Rajagopalan, T.J. Strathmann, and V. Singh. (2013). Use of Treated Effluent Water in Cellulosic Ethanol Production. Biomass and Bioenergy. 56, 22-28. http://dx.doi.org/10.1016/j.biombioe.2013.04.003
J43. J.K. Choe, M. Mehnert, J.S. Guest, T.J. Strathmann, and C.J. Werth. (2013). Comparative Assessment of the Environmental Sustainability of Existing and Emerging Perchlorate Treatment Technologies for Drinking Water. Environmental Science and Technology. 47, 4644-4652. http://dx.doi.org/10.1021/es3042862

J42. M.F. Fanizza, H. Yoon, C. Zhang, M. Oostrom, T.W. Wietsma, N.J. Hess, M.E. Bowden, T.J. Strathmann, K.T. Finneran, and C.J. Werth. (2013). Pore Scale Evaluation of Uranyl Phosphate Precipitation in a Model Groundwater System. Water Resources Research. 49, 874-890. http://dx.doi.org/10.1002/wrcr.20088

J41. F. Bonvin, J. Omlin, R. Rutler, B. Schweizer, P.J. Alaimo, T.J. Strathmann, K. McNeill, and T. Kohn. (2013). Direct Photolysis of Human Metabolites of Antibiotic Sulfamethoxazole: Evidence of Back-Transformation. Environmental Science & Technology. 47, 6746-6755. http://dx.doi.org/10.1021/es303777k

J40. R. Zhang, D. Shuai, K.A. Guy, J.R. Shapley, T.J. Strathmann, and C.J. Werth. (2013). Elucidation of Nitrate Reduction Mechanisms on a Pd/In Bimetallic Catalyst using Isotope Labeled Nitrogen Species. ChemCatChem. 5, 313-321. http://dx.doi.org/10.1002/cctc.201200457

J39. J. Liu, J.K. Choe, Z. Sasnow, C.J. Werth, and T.J. Strathmann. (2013). Application of a Re-Pd Bimetallic Catalyst for Treatment of Perchlorate in Waste Ion-Exchange Regenerant Brine. Water Research. 47, 91-101. http:dx.doi.org/10.1016/j.watres.2012.09.031

J38. M.N. Sugihara, D. Moeller, T. Paul, and T.J. Strathmann. (2013). TiO2-Photocatalyzed Transformation of the Recalcitrant X-ray Contrast Agent Diatrizoate. Applied Catalysis B: Environmental. 129, 114-122. http://dx.doi.org/10.1016/j.apcatb.2012.09.013

J37. S. Carbonaro, M.N. Sugihara, and T.J. Strathmann. (2013). Continuous-Flow Photocatalytic Treatment of Pharmaceutical Micropollutants: Activity, Inhibition, and Deactivation of TiO2 Photocatalysts in Wastewater Effluent. Applied Catalysis B: Environmental. 129, 1-12. http://dx.doi.org/10.1016/j.apcatb.2012.09.014

J36. L. Hu, M.A. Page, T. Sigstam, T. Kohn, B.J. Mariñas, and T.J. Strathmann. (2012). Inactivation of Bacteriophage MS2 with Potassium Ferrate(VI). Environmental Science & Technology. 46, 12079-12087. http://dx.doi.org/10.1021/es3031962
J35. T. Paul, M.L. Machesky, and T.J. Strathmann. (2012). Surface Complexation of the Zwitterionic Fluoroquinolone Antibiotic Ofloxacin to Nano-Anatase TiO2 Photocatalyst Surfaces. Environmental Science & Technology. 46, 11896-11904. http://dx.doi.org/10.1021/es302097k

J34. D.-Q. Ng, T.J. Strathmann, and Y.-P. Lin. (2012). Role of Orthophosphate As a Corrosion Inhibitor in Chloraminated Solutions Containing Tetravalent Lead Corrosion Product PbO2. Environmental Science & Technology. 46, 11062-11069. http://dx.doi.org/10.1021/es302220t
J33. B.P. Chaplin, M. Reinhard, W.F. Schneider, C. Schüth, J.R. Shapley, T.J. Strathmann, and C.J. Werth. (2012). A Critical Review of Pd-Based Catalytic Treatment of Priority Contaminants in Water. Environmental Science & Technology. 46, 3655–3670. http://dx.doi.org/10.1021/es204087q

J32. D.R. Vardon, B.K. Sharma, G.V. Blazina, K. Rajagopalan, and T.J. Strathmann. (2012). Thermochemical Conversion of Raw and Defatted Algal Biomass via Hydrothermal Liquefaction and Slow Pyrolysis. Bioresource Technology. 109, 178-187. http://dx.doi.org/10.1016/j.biortech.2012.01.008
J31. D.R. Vardon, B.K. Sharma, J. Scott, G. Yu, Z. Wang, L. Schideman, Y. Zhang, and T.J. Strathmann. (2011). Chemical Properties of Biocrude Oil from the Hydrothermal Liquefaction of Spirulina Algae, Swine Manure, and Digested Anaerobic Sludge. Bioresource Technology. 102, 8295-8303. http://dx.doi.org/10.1016/j.biortech.2011.06.041
J30. J.L. Mohatt, L. Hu, K.T. Finneran, and T.J. Strathmann. (2011). Microbially Mediated Abiotic Transformation of the Antimicrobial Agent Sulfamethoxazole under Iron-Reducing Conditions. Environmental Science and Technology. 45, 4793-4801. http://dx.doi.org/10.1021/es200413g

J29. L. Hu, A. Stemig, K.H. Wammer, and T.J. Strathmann. (2011). Oxidation of Antibiotics during Water Treatment with Potassium Permanganate: Reaction Pathways and Deactivation. Environmental Science and Technology. 45, 3635-3642. http://dx.doi.org/10.1021/es104234m
J28. V.A. Ranea, T.J. Strathmann, J.R. Shapley, and W.F. Schneider. (2011). DFT Comparison of N-Nitrosodimethylamine (NDMA) Decomposition Pathways Over Ni and Pd. ChemCatChem. 3, 898-903. http://dx.doi.org/10.1002/cctc.201000398
J27. L. Hu, H.M. Martin, and T.J. Strathmann. (2010). Oxidation Kinetics of Antibiotics during Water Treatment with Potassium Permanganate. Environmental Science and Technology. 44, 6416-6422. http://dx.doi.org/10.1021/es101331j
J26. J.K. Choe, J.R. Shapley, T.J. Strathmann, and C.J. Werth. (2010). Influence of Rhenium Speciation on the Stability and Activity of Re/Pd Bimetal Catalysts for Perchlorate Reduction. Environmental Science and Technology. 44, 4716-4721. http://dx.doi.org/10.1021/es100227z
J25. T. Paul, M.C. Dodd, and T.J. Strathmann. (2010). Photolytic and Photocatalytic Decomposition of Aqueous Ciprofloxacin: Residual Antibacterial Activity of Degradation Products. Water Research 44, 3121-3132. http://dx.doi.org/10.1016/j.watres.2010.03.002
J24. D. Kim, O.W. Duckworth, and T.J. Strathmann. (2010). Reactions of Aqueous Iron-DFOB (Desferrioxamine B) Complexes with Flavin Mononucleotide in the Absence of Strong Iron(II) Chelators. Geochimica et Cosmochimica Acta. 74, 1513-1529. http://dx.doi.org/10.1016/j.gca.2009.12.020
J23. A.J. Frierdich, C. Joseph, and T.J. Strathmann. (2009). Catalytic Reduction of N-Nitrosodimethylamine with Nanophase Nickel-Boron. Applied Catalysis B: Environmental. 90, 175-183. http://dx.doi.org/10.1016/j.apcatb.2009.03.007
J22. D. Kim, O. Duckworth, and T.J. Strathmann. (2009). Hydroxamate Siderophore-Promoted Reactions between Iron(II) and Nitroaromatic Groundwater Contaminants. Geochimica et Cosmochimica Acta. 73, 1297-1311. http://dx.doi.org/10.1016/j.gca.2008.11.039
J21. M.E. Mendola, T. Paul, T.J. Strathmann, and R.F. Carbonaro. (2009). Investigation of the Kinetics of Aquation of the 1:2 Complex between Cr(III) and Nitrilotriacetic Acid. Polyhedron. 28, 269-278. http://dx.doi.org/10.1016/j.poly.2008.11.018
J20. Hu, L., H. Martin, M. Sugihara, O. Arce-Bulted, K. Keating, and T.J. Strathmann. (2009). Oxidation of Carbamazepine by Mn(VII) and Fe(VI): Reaction Kinetics and Mechanism. Environmental Science and Technology. 43, 509-515. http://dx.doi.org/10.1021/es8023513
J19. A.E. Hartenbach, T.B. Hofstetter, M. Aeschbacher, M. Sander, D. Kim, T.J. Strathmann, W. Arnold, C. Cramer, and R.P. Schwarzenbach. (2008). Variability of N Isotope Fractionation During the Reduction of Nitroaromatic Compounds with Dissolved Reductants. Environmental Science and Technology. 42, 8352-8359. http://dx.doi.org/10.1021/es801063u
J18. D. Naka, D. Kim, R.F. Carbonaro, and T.J. Strathmann. (2008). Abiotic Reduction of Nitroaromatic Contaminants by Iron(II) Complexes with Organothiol Ligands. Environmental Toxicology and Chemistry. 27, 1257-1266. http://dx.doi.org/10.1897/07-505.1
J17. G.V. Nano and T.J. Strathmann. (2008). Application of Surface Complexation Modeling to the Reactivity of Iron(II) with Nitroaromatic and Oxime Carbamate Contaminants. Journal of Colloid and Interface Science. 321, 350-359. http://dx.doi.org/10.1016/j.jcis.2008.02.017
J16. L.E. Knitt, J.R. Shapley and T.J. Strathmann. (2008). Rapid Metal-Catalyzed Hydrodehalogenation of Iodinated X-Ray Contrast Media. Environmental Science and Technology. 42, 577-583. http://dx.doi.org/10.1021/es071837y
J15. A.J. Frierdich, J.R. Shapley and T.J. Strathmann. (2008). Rapid Reduction of N-Nitrosamine Disinfection Byproducts in Water with Hydrogen and Porous Nickel Catalysts. Environmental Science and Technology. 42, 262-269. http://dx.doi.org/10.1021/es0712928
J14. A. Bussan and T.J. Strathmann. (2007). Influence of Organic Ligands on the Reduction of Polyhalogenated Alkanes by Iron(II). Environmental Science and Technology, 41, 6740-6747. http://dx.doi.org/10.1021/es071108i
J13. T. Paul, P.L. Miller, and T.J. Strathmann. (2007). Visible-Light-Mediated TiO2 Photocatalysis of Fluoroquinolone Antibacterial Agents. Environmental Science and Technology, 41, 4720-4727. http://dx.doi.org/10.1021/es070097q
J12. L. Hu, P.M. Flanders, P.L. Miller, and T.J. Strathmann. (2007). Oxidation of Sulfamethoxazole and Related Antimicrobial Agents by TiO2 Photocatalysis. Water Research. 41, 2612-2626. http://dx.doi.org/10.1016/j.watres.2007.02.026
J11. D. Kim and T.J. Strathmann. (2007). Role of Organically Complexed Iron(II) Species in the Reductive Transformation of RDX in Anoxic Environments. Environmental Science and Technology, 41, 1257-1264. http://dx.doi.org/10.1021/es062365a
J10. D. Naka, D. Kim, and T.J. Strathmann. (2006). Abiotic Reduction of Nitroaromatic Compounds by Aqueous Iron(II)-Catechol Complexes. Environmental Science and Technology, 40, 3006-3012. http://dx.doi.org/10.1021/es060044t
J9. G.V. Nano and T.J. Strathmann. (2006). Ferrous Iron Sorption by Hydrous Metal Oxides. Journal of Colloid and Interface Science, 297, 443-454. http://dx.doi.org/10.1016/j.jcis.2005.11.030
J8. T.J. Strathmann and S.C.B. Myneni. (2005). Effect of Soil Fulvic Acid on Ni(II) Sorption and Bonding at the Aqueous-Boehmite (g-AlOOH) Interface. Environmental Science and Technology, 39, 4027-4034. http://dx.doi.org/10.1021/es0481629
J7. T.J. Strathmann and S.C.B. Myneni. (2004). Speciation and Complexation in Aqueous Ni(II)-Carboxylate and Ni(II)-Fulvic Acid Solutions: A Combined ATR-FTIR and XAFS Investigation. Geochimica et Cosmochimica Acta, 68, 3441-3458. http://dx.doi.org/10.1016/j.gca.2004.01.012
J6. T.J. Strathmann and A.T. Stone. (2003). Mineral Surface Catalysis of the Reactions between Fe(II) and Oxime Carbamate Pesticides. Geochimica et Cosmochimica Acta, 67, 2775-2791. http://dx.doi.org/10.1016/S0016-7037(03)00088-7
J5. T.J. Strathmann and A.T. Stone. (2002). Reduction of Oxamyl and Related Pesticides by Fe(II): Influence of Organic Ligands and Natural Organic Matter. Environmental Science and Technology, 36, 5172-5183. http://dx.doi.org/10.1021/es0205939
J4. T.J. Strathmann and A.T. Stone. (2002). Reduction of the Pesticides Oxamyl and Methomyl by Fe(II): Effect of pH and Inorganic Ligands. Environmental Science and Technology, 36, 653-661. http://dx.doi.org/10.1021/es011029l
J3. T.J. Strathmann and A.T. Stone. (2001). Reduction of the Carbamate Pesticides Oxamyl and Methomyl by Dissolved Fe(II) and Cu(I). Environmental Science and Technology, 35, 2461-2469. http://dx.doi.org/10.1021/es001824j
J2. R.L. Penn, G. Oskam, T.J. Strathmann, P.C. Searson, A.T. Stone, and D.R. Veblen. (2001). Epitaxial Assembly in Aged Colloids. Journal of Physical Chemistry B, 105, 2177-2182. http://dx.doi.org/10.1021/jp0039868
J1. T.J. Strathmann and C.T. Jafvert. (1998). Ion-Pair Association of Substituted Phenolates with K+ in Octanol. Environmental Toxicology and Chemistry, 17, 369-376. http://dx.doi.org/10.1002/etc.5620170304
Book Chapters
B3. T.J. Strathmann. (2011). Redox Reactivity of Organically Complexed Iron(II) Species with Aquatic Contaminants. In Aquatic Redox Chemistry, edited by P.G Tratnyek, T. Grundl, and S. Haderlein. American Chemical Society Symposium Series Book, pages 283-313. 10.1021/bk-2011-1071.ch014
B2. T.J. Strathmann, C.J. Werth, and J.R. Shapley. (2009). Heterogeneous Catalytic Reduction for Water Purification. Nanoscale Effects on Catalytic Activity, Selectivity, and Sustainability. In Nanotechnology Applications: Solutions for Improving Water Quality, edited by M. Diallo, J. Duncan, N. Savage, A. Street, and R. Sustich. William Andrew Publishing, pages 269-279. https://doi.org/10.1016/B978-0-8155-1578-4.50028-7
B1. C.T. Jafvert and T.J. Strathmann. (2000). Innovative Surfactant/Cosolvent Technologies for Removal of NAPL and Sorbed Contaminants from Aquifers. In Emerging Technologies in Hazardous Waste Management, Volume 8, D.W. Tedder and F.D. Pohland Editors. Kluwer/Plenum Publishers, pages 93-108. https://link.springer.com/chapter/10.1007/0-306-46921-9_9
Patents
P2. U.S. Provisional Patent Application 63/378,198: Hydrothermal Alkaline Treatment of PFAS-Contaminated Adsorbents for Contaminant Mineralization and Adsorbent Regeneration. Status: Provisional application filed 10/03/2022. T.J. Strathmann, C.P. Higgins, O. Soker, S. Hao.
P1. U.S. Patent US 11,577,111: Hydrothermal Technology for Decontamination and Mineralization of Perfluoro- and Polyfluoroalkyl Substances (PFAS) in Wastes, Concentrate Solutions, and Chemical Stockpiles. Patent Issued February 14, 2023. T.J. Strathmann, C.P. Higgins, B. Wu, S. Hao.
P3. U.S. Patent Application 63/587,281: Catalyst-Enhanced Subcritical Hydrothermal Destruction of Per- and Polyfluoroalkyl Substances (PFAS). Status: Full patent application filed 10/2024.
P4. U.S. Patent Application PCT/US25/19080: Gaseous Halogenated Hydrocarbon Compound Destruction in an Alkaline, Hydrothermal Environment, and Related Methods and Systems. Status: Full patent application filed 3/2025.